s n h m r u
i

Ein Umfüllproblem

Miniwelt "Eimer umfüllen"

Zum Nudelkochen im Ferienlager werden genau 2 Liter Wasser benötigt. Zum Abmessen stehen nur ein kleiner Eimer, der 3 Liter fasst, und einen etwas größerer Eimer, der 4 Liter fasst, zur Verfügung. Kann das funktionieren?

Eimer

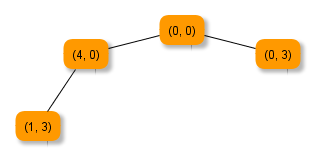
Um systematisch alle durch Umfüllen erzeugbaren Wassermengen zu bestimmen, kann man einen Zustandsgraphen erstellen. Die Knoten des Graphen sind die aktuellen Füllinhalte der beiden Eimer. Die Kanten des Graphen stellen die Umfüllvorgänge dar.

Umfüllproblem - Graph

Aufgabe 1

Entwickle ein geeignetes Logikprogramm zur Lösung des Umfüllproblems. Die folgende Wissensbasis zeigt einen Weg auf, wie man die Umfüllvorgänge modellieren kann. Es fehlen aber noch eine Reihe von Regeln.

% Graph
kante(X, Y) :- zustandsuebergang(X, Y).
% 3-l-Eimer füllen
zustandsuebergang((Eimer4, Eimer3), (Eimer4, 3)) :-
  Eimer3 \== 3.
% 4-l-Eimer füllen
...
% 3-l-Eimer leeren
zustandsuebergang((Eimer4, Eimer3), (Eimer4, 0)) :-
  Eimer3 \== 0.
% 4-l-Eimer leeren
...
% 3-l-Eimer umfüllen in 4-l-Eimer
zustandsuebergang((Eimer4, Eimer3), (Eimer41, 0)) :-
  Eimer3 \== 0, Eimer3 + Eimer4 =< 4, Eimer41 is Eimer3+Eimer4.
% 4-l-Eimer umfüllen in 3-l-Eimer
...
% 4-l-Eimer teilw. umfüllen in 3-l-Eimer
...
% 3-l-Eimer teilw. umfüllen in 3-l-Eimer
zustandsuebergang((Eimer4, Eimer3), (4, Eimer31)) :-
  Eimer4 \== 4, Eimer3 + Eimer4 >4, Eimer31 is Eimer3+Eimer4-4.

% Ausgabe eines Weges
ausgeben([]).
ausgeben([K|R]) :- print(K), nl, ausgeben(R).

% Start-/Zielzustand
startZustand([0,0]).
zielZustand([2,N]).
zielZustand([M,2]).

% Wegsuche
weg2(X, X, W, W).
weg2(X, Y, A, W) :- kante(X, Z), not(member(Z, A)), weg2(Z, Y, [Z|A], W).
weg(W) :- startZustand(X), zielZustand(Y), weg2(X, Y, [X], W), ausgeben(W).

Suche

v
8.3.4.4.2 Ein Umfüllproblem
Kopieren durch Anklicken

Rückmeldung geben