Landtag Saarland 1975
Sitzverteilung nach der Landtagswahl 1975 im Saarland:
| CDU | SPD | FDP | (Gesamt) |
|---|---|---|---|
| 25 | 22 | 3 | 50 |
Antworten zu den Aufgaben ins Heft schreiben!
Aufgabe 1
Übertrage die Sitzverteilung ins Heft.
Gib eine Regel an: Eine absolute Mehrheit (d. h. über 50 Prozent der Sitze) kommt zustande bei einer Koalition zwischen…
Aufgabe 2
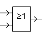
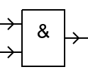
Das Schaltnetz enthält zwei Bausteine mit je zwei Eingaben und einer Ausgabe:
(a) Zeichne die Bausteine ab. Erkläre jeweils, was erfüllt sein muss, damit die Ausgabeleitung leuchtet:
- Baustein 1: Ausgabe leuchtet, wenn…
- Baustein 2: Ausgabe leuchtet, wenn…
(b) Gib jeweils vollständige Tabellen an, indem du die Ausgabespalte für beide Bausteine ergänzt:
| Eingabe A ist aktiv |
Eingabe B ist aktiv |
Ausgabe ist aktiv |
|---|---|---|
| Eingabe A ist aktiv |
Eingabe B ist aktiv |
Ausgabe ist aktiv |
|---|---|---|
(c) Erkläre, inwiefern die Eingabespalten der Tabellen mit Binärzahlen zusammenhängen.
(d) Schreibe die beiden Tabellen nochmal auf, aber diesmal mit den Zahlen 0 und 1. Gib an, welchen Rechenoperationen die Ausgaben entsprechen, wenn man die Eingabespalten als Binärzahlen auffasst. (Beim zweiten Baustein darfst du ein bisschen großzügig sein: Die Ziffer 2 gibt es im Binärsystem nicht.)
| A | B |
A und B:
(Rechenoperation) |
|---|---|---|
| A | B |
A oder B:
(Rechenoperation) |
|---|---|---|
Solche Tabellen nennt man Wahrheitstabellen.
Aufgabe 3
| CDU | SPD | FDP | (Gesamt) |
|---|---|---|---|
| 25 | 22 | 3 | 50 |
Erinnere dich: Eine absolute Mehrheit kommt zustande bei einer Koalition zwischen…
(a) Beschreibe die Ausgabe für Koalitionsmehrheiten wie in Aufgabe 2 (d) als Rechenterm mit den Variablen $C$, $S$ und $F$ (für Beteiligung von CDU/SPD/FDP).
(b) Vervollständige die linke Tabelle mit den möglichen Kombinationen.
(c) Vervollständige die Wahrheitstabelle rechts, indem du jeweils die Werte der Variablen in den Term einsetzt und das Ergebnis ausrechnest (mit $1 + 1 = 1$). Überprüfe, ob die beiden Tabellen übereinstimmen.
|
CDU |
SPD |
FDP |
Haben absolute Mehrheit |
|---|---|---|---|
| CDU $C$ |
SPD $S$ |
FDP $F$ |
Rechenterm für absolute Mehrheit:
|
|---|---|---|---|