Quiz-Buzzer
Alarm durch den Buzzer
In einer Quizshow sollen die beiden Kandidatinnen auf ihren Buzzer drücken, wenn Sie eine Antwort wissen. Die Sirene soll heulen, wenn einer der beiden Buzzer gedrückt wurde.
In den Bildern siehst du den grünen Buzzer
Bgrün und den roten Buzzer Brot , sowie die Sirene S.
Das Buzzersystem soll hier mit einer
digitalen Schaltung simuliert werden.
Aufgabe 1
Beschreibe die Funktionsweise des Buzzersystems in der folgenden Tabelle. Fülle die Lücken aus!
| der Buzzer Bgrün ist ... | der Buzzer Brot ist ... | Die Sirene ist ... |
|---|---|---|
| nicht gedrückt | nicht gedrückt | aus |
| nicht gedrückt | gedrückt | |
Aufgabe 2
Erstelle für das Buzzersystem die Wahrheitstabelle! Dabei soll der Zustand 1 bedeuten, dass ein Buzzer gedrückt ist bzw. die Sirene heult.
| Bgrün | Brot | S |
|---|---|---|
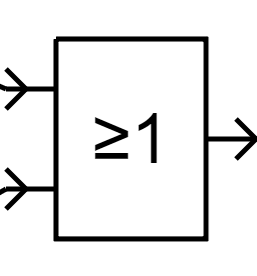
Das Buzzersystem als digitale Schaltung
Hier siehst du das Buzzersystem als digitale Schaltung, bei der mit den Eingängen Brot und Bgrün die Sirene als Ausgang gesteuert wird.
Aufgabe 3
(a) Begründe, warum auf dem Bauteil in der Mitte das Zeichen ≥1 abgebildet ist.
(b) Beschreibe in eigenen Worten Unterschiede zwischen dem Gatter dieser Simulation und einem UND-Gatter.
Das Bauteil mit dem Symbol ≥1 wird als ODER-Gatter bezeichnet.
Es besitzt zwei Eingänge und einen Ausgang. Beim ODER-Gatter liegt am Ausgang eine 1 an, wenn
an einem oder beiden Eingängen eine 1 anliegt.
Quellen
- [1]: Megaphon - Urheber: HSL - Lizenz: inf-schule.de
- [2]: Zwei Buzzer - Urheber: pixabay.com - Lizenz: Public Domain

