i

Einstieg

Tor oder kein Tor?

Syntaxdiagramm für TorjubelAuf dieser Seite lernst du einen Akzeptor kennen, der Torjubel erkennt. Der reguläre Ausdruck to+r und das dazu passende Syntaxdiagramm sollen dabei die formale Sprache der Torjubel definieren. Beispiele für Wörter dieser Sprache wären tor, tooor oder tooooooor. Dagegen sind nach dieser Definiton trr, tooro oder ttooor keine Torjubel.

In der Simulation siehst du den Akzeptor für diese Sprache. Das Zustandsdiagramm des Akzeptors besitzt fünf Zustände (Z0 bis Z4) und Pfeile für die Zustandsübergänge, an denen Eingabezeichen stehen.

Aufgabe 1 - Torjubel

Teste den Akzeptor, in dem du in der Simulation unten einen Torjubel eingibst und anschließend auf den Pfeil klickst. Nun kannst du die Abarbeitung des Eingabeworts schrittweise ausführen.

Beobachte die Ausführung bei verschiedenen Eingabewörtern (toor, tro, torr...) und beantworte dabei die folgenden Fragen:

  • Wo sehe ich, welche Eingabezeichen erlaubt sind?
  • Woran erkenne ich den Zustand, in dem der Akzeptor beginnt?
  • Was passiert in einem Arbeitsschritt des Automaten?
  • Wie lange arbeitet der Akzeptor?
  • Wann und wie entscheidet der Automat, ob eine Eingabe akzeptiert wird?

Jetzt hast du erste Erfahrungen mit Akzeptoren gemacht und kannst in der nächsten Aufgabe einen Automaten in der Simulation teilweise selbst definieren. Du kannst dabei deinen Automaten am Ende in der Simulation lokal speichern oder mit dem Teilen-Symbol durch einen Code für alle zugänglich machen.

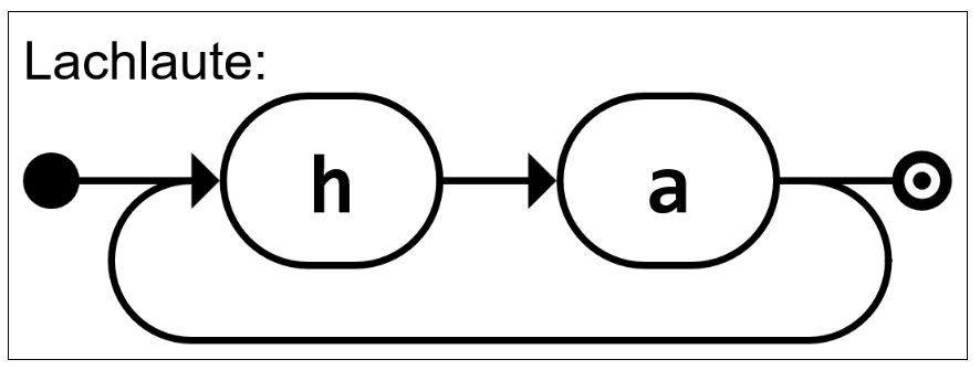
Aufgabe 2 - Lachlaute

Syntaxdiagramm für Lachlaute In der Simulation siehst du einen Akzeptor, der die formale Sprache der Lachlaute erkennen soll. Lachlaute sind z.B. ha oder hahaha und werden mit dem regulären Ausdruck (ha)+ definiert. Im Syntaxdiagramm siehst du zum Vergleich ebenfalls die Bildungsregeln für Lachlaute.

Der Akzeptor ist allerdings noch nicht komplett konstruiert. Das soll gleich deine Aufgabe sein!

  1. Teste den Akzeptor mit den Wörtern ha und aha.
  2. Teste nun mit hh, analysiere die Fehlermeldung und ergänze dann den fehlenden Übergang im Zustand Z1 (Schaltfläche: Pfeil mit Pluszeichen).
  3. Ergänze den passenden Übergang, damit das Wort haha akzeptiert wird. Überlege dir dabei genau, in welchen Zustand der Akzeptor wechseln muss, wenn im Zustand Z2 ein "h" eingelesen wird. Teste anschließend auch mit den Eingaben hahaha und hahah.
  4. Kontrolliere mithilfe der Schaltfläche "Prüfen" (Pfeil mit Fragezeichen) ob es noch weitere fehlende Zustandsübergänge gibt und ergänze sie gegebenenfalls.

Aufgabe 3 - Ich denke nach ...

Syntaxdiagramm für Nachdenklaute Die formale Sprache des lauten Nachdenkens soll alle Wörter vom kurzen Überlegen ("hm") bis zum Nachdenken ohne Ende ("hmmmmmmmmm" usw.) enthalten. Schaue dir das Syntaxdiagramm genau an und formuliere dann hier zunächst den dazu passenden regulären Audruck.

Regulärer Ausdruck für Nachdenken:

Entwickle für diese Sprache einen Akzeptor! Dafür musst du zunächst mit der "abc"-Schaltfläche die erlaubten Zeichen definieren. Dein Akzeptor ist fertig, wenn die Prüfung keine fehlenden Zustandsübergänge anzeigt und nur korrekte Wörter akzeptiert werden.

Suche

v
100.130.3.1.1 Einstieg
Kopieren durch Anklicken

Rückmeldung geben