i

Repräsentation von Graphen

Darstellung mit Datenstrukturen

Um Graphen mit dem Computer verarbeiten zu können, müssen sie zunächst in einer Computer-gerechten Weise dargestellt werden. Die Information, die durch einen Graphen gegeben ist, muss hierzu mit Hilfe vorgegebener Datenstrukturen adäquat beschrieben werden. Als Datenstrukturen bieten sich z.B. Tabellen oder Listen an.

Aufgabe 1

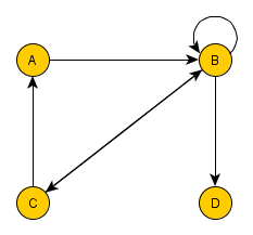
Betrachte den folgenden (gerichteten) Graphen. Wie könnte man diesen Graphen in Tabellenform / mit Hilfe von Listen beschreiben? Entwickle hierzu selbst Ideen.

Graph 1

Suche

v
2.3.5.2.1 Repräsentation von Graphen
Kopieren durch Anklicken

Rückmeldung geben