i

Implementierung einer Nachbarschaftstabelle

Implementierung mit Listen

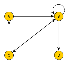
Wir betrachten weiterhin den folgenden Graphen:

Graph 1

Die Nachbarschaftstabelle zu diesem Graphen lässt sich in Python mit Hilfevon Listen nachbilden.

knotenliste = ['A', 'B', 'C', 'D']
adjazenzmatrix = [[0, 1, 0, 0], [0, 1, 1, 1], [1, 1, 0, 0], [0, 0, 0, 0]]

Aufgabe 1

(a) (einfach) Entwickle eine Funktion existiertKnoten(nameKnoten), die überprüft, ob ein vorgegebener Knoten im Graph vorkommt. Teste das Verhalten der Funktion, z.B. so:

>>> knotenliste = ['A', 'B', 'C', 'D']
>>> adjazenzmatrix = [[0, 1, 0, 0], [0, 1, 1, 1], [1, 1, 0, 0], [0, 0, 0, 0]]
>>> existiertKnoten('D')
True
>>> existiertKnoten('G')
False

(b) (etwas schwieriger) Entwickle eine Funktion existiertKante(nameStartKnoten, nameZielKnoten), die überprüft, ob es eine Kante zwischen den übergebenen Knoten gibt. Teste das Verhalten der Funktion, z.B. so:

>>> knotenliste = ['A', 'B', 'C', 'D']
>>> adjazenzmatrix = [[0, 1, 0, 0], [0, 1, 1, 1], [1, 1, 0, 0], [0, 0, 0, 0]]
>>> existiertKante('A', 'D')
False
>>> existiertKante('B', 'D')
True
>>> existiertKante('X', 'Y')
False

Tipp: Mit knotenliste.index('A') kann man den Index des übergebenen Bezeichners in der Knotenliste bestimmen.

(c) (noch etwas schwieriger) Entwickle eine Funktion getAlleNachbarn(nameKnoten), die sämtliche Nachbarn eines vorgegebenen Knotens ermittelt und zurückgibt.

>>> knotenliste = ['A', 'B', 'C', 'D']
>>> adjazenzmatrix = [[0, 1, 0, 0], [0, 1, 1, 1], [1, 1, 0, 0], [0, 0, 0, 0]]
>>> getAlleNachbarn('B')
['B', 'C', 'D']

Objektorientierte Modellierung

Für die weitere Verarbeitung von Graphen ist es günstig, Graphen als Objekte einer Klasse Graph zu realisieren.

Objektdiagramm - Graph

Aufgabe 2

(a) Überlege dir, welche Operationen ein Graph-Objekt ausführen können soll. Einige Operationen werden bereits in Aufgabe 1 thematisiert. Erstelle ein Klassendiagramm zur Dokumentation der Klasse.

(b) Implementiere die Klasse Graph. Teste die Implementierung mit einem geeigneten Python-Dialog oder einem einfachen Testprogramm.

Suche

v
2.3.5.2.1.2 Implementierung einer Nachbarschaftstabelle
Kopieren durch Anklicken

Rückmeldung geben