i

Schritt 2 - Trennlinie

Aufgabe

  1. Zeichne nun den ersten Punkt in das Koordinatensystem oben, indem du A=(2,3) neben dem "+" eingibst (und anschließend die Enter-Taste drückst).
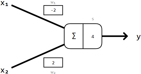
  2. Neuron Anfangsbelegung Erzeuge die bisherige Trennlinie (Separationsgerade), indem du die Funktionsgleichung bestimmst und dir ebenfalls einzeichnen lässt.

    Steigung m=
    y-Achsenabschnitt c=
    Geradengleichung in der Form $y=m*x+c$ :

  3. Wir betrachten nun das Wertepaar x1=5 und x2=6
    Zeichne auch dieses Wertepaar als Punkt B in das Koordinatensystem ein.
    Wenn du keinen Fehler gemacht hast, dann sollte dieser Punkt B auf der gleichen Seite der Trennlinie liegen, wie A auch.
  4. Überprüfe auch rechnerisch, dass das Neuron mit den Gewichten und Schwellenwert oben bei diesem Wertepaar nicht feuert.

Suche

v
5.1.2.3.1.7.1.2 Schritt 2 - Trennlinie
Kopieren durch Anklicken

Rückmeldung geben